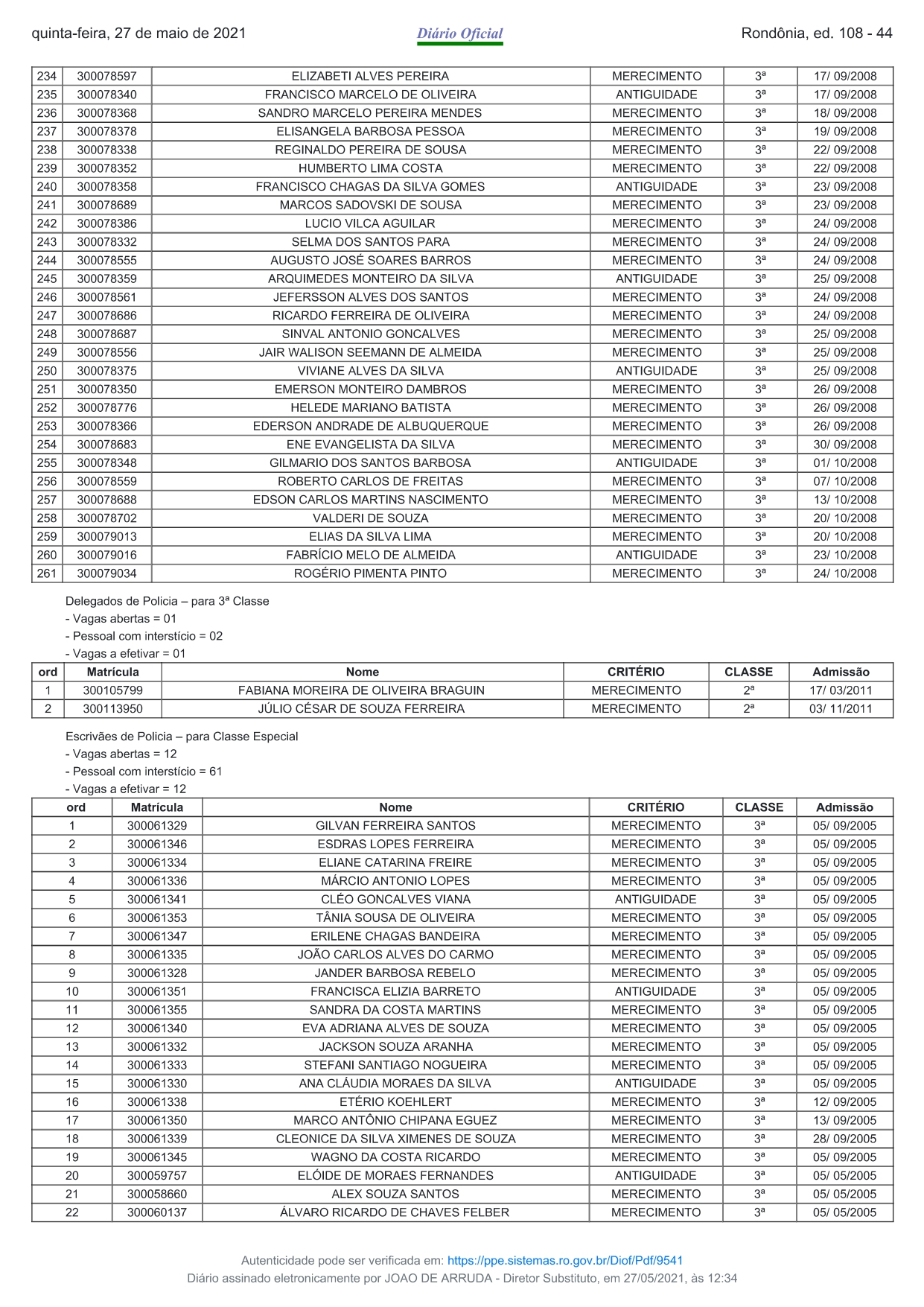
A diretoria do SINPOL-RO torna público aos filiados interessados, a RELAÇÃO GERAL DOS SERVIDORES QUE SERÃO PROMOVIDOS no processo de MARÇO DE 2021.
PRAZO DE 10 DIAS PARA RECURSO
À Diretoria








A diretoria do SINPOL-RO torna público aos filiados interessados, a RELAÇÃO GERAL DOS SERVIDORES QUE SERÃO PROMOVIDOS no processo de MARÇO DE 2021.
PRAZO DE 10 DIAS PARA RECURSO
À Diretoria









Justiça confirma mais uma vitória do Sinpol Rondônia e determina implantação de valores reconhecidos judicialmente
Processo nº 0012526-22.2014.8.22.0001
12/11/2025 Leia mais...

VITÓRIA: STJ rejeita embargos da União e confirma vitória do SINPOL Rondônia na ação da transposição até 1991
Decisão do Superior Tribunal de Justiça representa mais um marco histórico na luta dos policiais civis, encerrando d...
07/11/2025 Leia mais...

Sinpol Rondônia prestigia encerramento dos Jogos Inter Forças 2025 em Vilhena
Evento reforça integração entre as forças de segurança e celebra vitória feminina da Polícia Civil
27/10/2025 Leia mais...